how ketone bodies are formed Ketone ketones bodies three exogenous meet family why when

List Content

Urine Analysis: Part 27 – Urine for ketones, and Ketone Bodies

Urine for ketones, and Ketone Bodies Have you ever wondered why our bodies produce ketone bodies and what their significance is? Well, let’s dive into the world of ketone bodies and their formation.

The Formation of Ketone Bodies

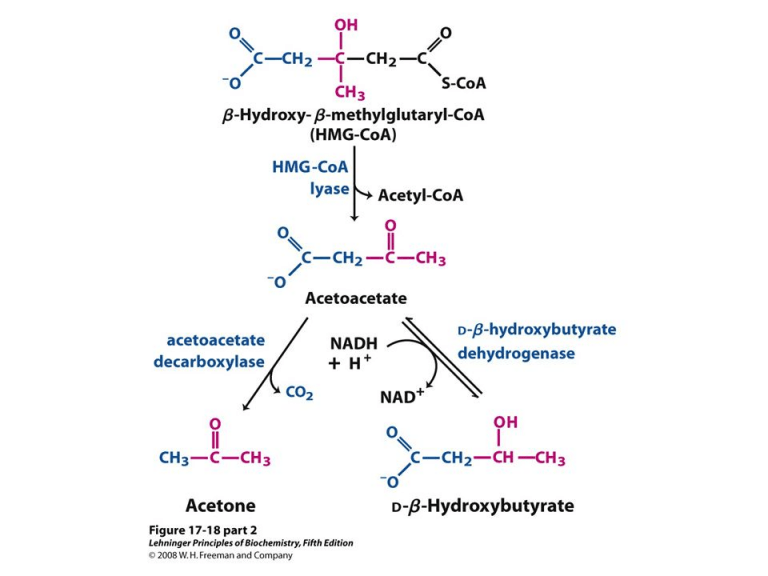
Formation of Ketone Bodies Ketone bodies, such as acetone, acetoacetate, and beta-hydroxybutyrate, are produced by the liver from fatty acids during periods of low carbohydrate availability. This process is known as ketogenesis.

When glucose reserves are depleted, the human body turns to alternative energy sources to fuel its cells. Fatty acids are broken down into smaller molecules called ketone bodies, which can then be used by various tissues, including the brain, heart, and skeletal muscles, as an energy source.

The production of ketone bodies is often associated with a metabolic state known as ketosis. Ketosis can occur during prolonged fasting, low-carbohydrate diets, or in individuals with diabetes who cannot effectively use glucose as a fuel source. It is important to note that ketosis is different from ketoacidosis, which is a potentially life-threatening condition primarily observed in individuals with type 1 diabetes.

Ketosis has gained popularity due to its potential benefits for weight loss, improved mental clarity, and increased energy levels. Many people adopt ketogenic diets, which are high in fat, moderate in protein, and low in carbohydrates, to induce nutritional ketosis and promote fat burning.

While ketosis can be beneficial for certain individuals, it is crucial to monitor ketone levels, especially in individuals with diabetes. Urine analysis can help detect the presence of ketone bodies in the urine, providing valuable information about someone’s metabolic state. It is essential to consult with a healthcare professional before embarking on any drastic dietary changes to ensure safety and efficacy.

In conclusion, understanding the formation and significance of ketone bodies is essential in comprehending metabolic processes and their impact on our overall health. Whether you are considering a ketogenic diet or are curious about the role of ketone bodies in your body, it is always important to seek guidance from healthcare professionals to make informed decisions about your well-being.

If you are searching about USMLE Notes - Ketone bodies are produced in the liver and can be… you’ve visit to the right web. We have 5 Pics about USMLE Notes - Ketone bodies are produced in the liver and can be… like Urine Analysis: Part 27 – Urine for ketones, and Ketone Bodies, USMLE Notes - Ketone bodies are produced in the liver and can be… and also Urine Analysis: Part 27 – Urine for ketones, and Ketone Bodies. Here you go:

USMLE Notes - Ketone Bodies Are Produced In The Liver And Can Be…

USMLE Notes - Ketone bodies are produced in the liver and can be… usmle-notes.tumblr.comketone liver usmle mitochondrial peripheral ketones mitochondria tissues

Exogenous Ketones: What They Are, Benefits Of Use And How They Work

Exogenous Ketones: What They Are, Benefits of Use and How They Work ketosource.coketone ketones exogenous acetyl coa metabolism salts

Urine Analysis: Part 27 – Urine For Ketones, And Ketone Bodies

Urine Analysis: Part 27 – Urine for ketones, and Ketone Bodies www.labpedia.netketone bodies ketones formation urine analysis part labpedia metabolism

Exogenous Ketones: When, Why, And How

Exogenous Ketones: When, Why, and How www.ketogenic-diet-resource.comketone ketones bodies three exogenous meet family why when

Ketone Bodies | Online Biochemistry Notes

Ketone Bodies | Online Biochemistry Notes biocheminfo.comketone bodies

Ketone bodies ketones formation urine analysis part labpedia metabolism. Urine analysis: part 27 – urine for ketones, and ketone bodies. Ketone bodies